游客:
注册
|
登录
会员
|
搜索
|
统计
|
帮助
轩辕春秋文化论坛
»
辕门射虎
» 积分,啦啦啦,积分……
兴唐传·瓦岗山异闻录(20150519版)发布
(2015-5-19)
论坛营运现状公告
(2014-8-10)
三国志12pk版下载
(2013-4-20)
《精忠报国岳飞传》制作组对外开放
(2013-1-16)
岳飞传解密剧本发布
(2011-4-12)
招募各版斑竹和网站管理技术人员
(2006-4-19)
<< 上一主题
|
下一主题 >>
投票
交易
悬赏
活动
打印
|
推荐
|
订阅
|
收藏
|
开通个人空间
|
加入资讯
标题: 积分,啦啦啦,积分……
Z_Artemis
(冠子)
燕郡公集庆军节度使
★
★
组别
节度使
级别
骠骑将军
好贴
6
功绩
895
帖子
8351
编号
68083
注册
2006-5-8
来自
雲夢山莊
家族
幽神幻韵
#1
发表于 2009-1-14 00:44
资料
个人空间
短消息
只看该作者
积分,啦啦啦,积分……
如图~
冠子还未能蜕变成一个彻底的工科男生……
[
本帖最后由 Z_Artemis 于 2009-1-14 00:45 编辑
]
图片附件
:
1.jpg
(2009-1-14 00:44, 2.08 K)
图片附件
:
2.jpg
(2009-1-14 00:44, 2.09 K)
[广告]
《精忠报国岳飞传完整版》火热发布
无事公
(宝二爷)
永宁侯
★★★
★★
组别
翰林学士
级别
骠骑将军
好贴
16
功绩
622
帖子
9434
编号
67042
注册
2006-4-25
来自
风之王都
家族
聚贤山庄
#2
发表于 2009-1-14 00:45
资料
个人空间
短消息
只看该作者
积分就积分,也不用拉拉拉吧
这东西我不懂,看你们解答
[广告]
安装Alexa工具条,提高轩辕排名,支持轩辕发展!
阿尔法孝直
(雀力日进)
闽国公
遂安军节度使
★★★★★★
组别
节度使
级别
卫将军
好贴
2
功绩
1796
帖子
6047
编号
19070
注册
2004-10-16
家族
轩辕雀党
#3
发表于 2009-1-14 01:33
资料
个人空间
短消息
只看该作者
555…好简单…:1、1/2*ln(x^2+a^2)+C;2、ln(x+根号(x^2+a^2))+C
[广告]
安装Alexa工具条,提高轩辕排名,支持轩辕发展!
Z_Artemis
(冠子)
燕郡公集庆军节度使
★
★
组别
节度使
级别
骠骑将军
好贴
6
功绩
895
帖子
8351
编号
68083
注册
2006-5-8
来自
雲夢山莊
家族
幽神幻韵
#4
发表于 2009-1-14 01:34
资料
个人空间
短消息
只看该作者
QUOTE:
原帖由
阿尔法孝直
于 2009-1-14 01:33 发表
555…好简单…:1、1/2*ln(x^2+a^2)+C;2、ln(x+根号(x^2+a^2))+C
解法谢谢......你以为我手上没有答案么...
[广告]
真诚支持说岳,携手共创辉煌
阿尔法孝直
(雀力日进)
闽国公
遂安军节度使
★★★★★★
组别
节度使
级别
卫将军
好贴
2
功绩
1796
帖子
6047
编号
19070
注册
2004-10-16
家族
轩辕雀党
#5
发表于 2009-1-14 01:36
资料
个人空间
短消息
只看该作者
第一题用(ln(f(x)))'=f'(x)/f(x),注意到x^2+a^2的导数是2x;第二题积分表就有,用三角代换x/a=tan t应该也可以做。
[
本帖最后由 阿尔法孝直 于 2009-1-14 01:41 编辑
]
[广告]
安装Alexa工具条,提高轩辕排名,支持轩辕发展!
Z_Artemis
(冠子)
燕郡公集庆军节度使
★
★
组别
节度使
级别
骠骑将军
好贴
6
功绩
895
帖子
8351
编号
68083
注册
2006-5-8
来自
雲夢山莊
家族
幽神幻韵
#6
发表于 2009-1-14 01:54
资料
个人空间
短消息
只看该作者
第一题确实简单,是我疏忽了...
[广告]
真诚支持说岳,携手共创辉煌
天宫公主
(司徒家的颖颖)
虞国公主
★
组别
限制发言用户
级别
大将军
好贴
6
功绩
517
帖子
11552
编号
1037
注册
2004-10-25
来自
天津
家族
司徒实业
#7
发表于 2009-1-14 10:18
资料
主页
短消息
只看该作者
粪特!两道题其实都出奇的简单。
[广告]
安装Alexa工具条,提高轩辕排名,支持轩辕发展!
Z_Artemis
(冠子)
燕郡公集庆军节度使
★
★
组别
节度使
级别
骠骑将军
好贴
6
功绩
895
帖子
8351
编号
68083
注册
2006-5-8
来自
雲夢山莊
家族
幽神幻韵
#8
发表于 2009-1-14 10:58
资料
个人空间
短消息
只看该作者
QUOTE:
原帖由
天宫公主
于 2009-1-14 10:18 发表
粪特!两道题其实都出奇的简单。
公主啊.....第二题可否给个思路..?
[广告]
安装Alexa工具条,提高轩辕排名,支持轩辕发展!
墨叶
★★★★
节度留后虎豹骑
组别
虎豹骑
级别
大将军
功绩
359
帖子
23258
编号
97330
注册
2006-12-26
家族
轩辕少林寺
#9
发表于 2009-1-14 12:19
资料
个人空间
短消息
只看该作者
分数求积,可能是f(x)^n+1形式,也可能是ln(f(x))的形式。
[广告]
安装Alexa工具条,提高轩辕排名,支持轩辕发展!
阿尔法孝直
(雀力日进)
闽国公
遂安军节度使
★★★★★★
组别
节度使
级别
卫将军
好贴
2
功绩
1796
帖子
6047
编号
19070
注册
2004-10-16
家族
轩辕雀党
#10
发表于 2009-1-14 12:20
资料
个人空间
短消息
只看该作者
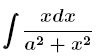
a是正的还是负的?未知正负,只能这样处理了。
[
本帖最后由 阿尔法孝直 于 2009-1-14 16:06 编辑
]
图片附件
:
Z_Artemis' Integrate Problems.jpg
(2009-1-14 16:06, 17.24 K)
[广告]
安装Alexa工具条,提高轩辕排名,支持轩辕发展!
Z_Artemis
(冠子)
燕郡公集庆军节度使
★
★
组别
节度使
级别
骠骑将军
好贴
6
功绩
895
帖子
8351
编号
68083
注册
2006-5-8
来自
雲夢山莊
家族
幽神幻韵
#11
发表于 2009-1-14 22:31
资料
个人空间
短消息
只看该作者
sgn 是啥东东?
[广告]
《精忠报国岳飞传完整版》火热发布
阿尔法孝直
(雀力日进)
闽国公
遂安军节度使
★★★★★★
组别
节度使
级别
卫将军
好贴
2
功绩
1796
帖子
6047
编号
19070
注册
2004-10-16
家族
轩辕雀党
#12
发表于 2009-1-14 22:46
资料
个人空间
短消息
只看该作者
符号函数,a为正,sgn a为1;a为负,sgn a为-1;a为0,sgn a为0。
[广告]
真诚支持说岳,携手共创辉煌
阿尔法孝直
(雀力日进)
闽国公
遂安军节度使
★★★★★★
组别
节度使
级别
卫将军
好贴
2
功绩
1796
帖子
6047
编号
19070
注册
2004-10-16
家族
轩辕雀党
#13
发表于 2009-1-14 22:47
资料
个人空间
短消息
只看该作者
符号函数,a为正,sgn a为1;a为负,sgn a为-1;a为0,sgn a为0。
[广告]
安装Alexa工具条,提高轩辕排名,支持轩辕发展!
outmoon
组别
士兵
级别
破虏将军
功绩
7
帖子
728
编号
96048
注册
2006-12-18
#14
发表于 2009-1-16 14:19
资料
个人空间
短消息
只看该作者
开高等数学课了么?
[广告]
真诚支持说岳,携手共创辉煌
Z_Artemis
(冠子)
燕郡公集庆军节度使
★
★
组别
节度使
级别
骠骑将军
好贴
6
功绩
895
帖子
8351
编号
68083
注册
2006-5-8
来自
雲夢山莊
家族
幽神幻韵
#15
发表于 2009-1-16 23:03
资料
个人空间
短消息
只看该作者
终于看懂了...强悍啊..
[广告]
真诚支持说岳,携手共创辉煌
天宫公主
(司徒家的颖颖)
虞国公主
★
组别
限制发言用户
级别
大将军
好贴
6
功绩
517
帖子
11552
编号
1037
注册
2004-10-25
来自
天津
家族
司徒实业
#16
发表于 2009-1-17 23:07
资料
主页
短消息
只看该作者
QUOTE:
原帖由
Z_Artemis
于 2009-1-14 10:58 发表
公主啊.....第二题可否给个思路..?
唉,其实所有大一积分/微分方程的“巧妙”运算,都是李队称和李代数表示的一种特殊情况。
转一篇讲用李对称解微分方程的文章,很有意思:
http://www4.ncsu.edu/~kmiwanci/odes.pdf
[
本帖最后由 天宫公主 于 2009-1-17 23:13 编辑
]
[广告]
安装Alexa工具条,提高轩辕排名,支持轩辕发展!
a1090978786
组别
百姓
级别
在野武将
功绩
0
帖子
12
编号
367013
注册
2010-3-27
#17
发表于 2010-3-27 16:20
资料
短消息
只看该作者
呵呵
come
[广告]
安装Alexa工具条,提高轩辕排名,支持轩辕发展!
a1090978786
组别
百姓
级别
在野武将
功绩
0
帖子
12
编号
367013
注册
2010-3-27
#18
发表于 2010-3-27 16:21
资料
短消息
只看该作者
爱因斯坦会做吗
[广告]
真诚支持说岳,携手共创辉煌
moyanxiawei123
(默言)
★
组别
羽林都尉
级别
征南将军
功绩
86
帖子
4569
编号
271179
注册
2008-3-15
来自
浙江
家族
默家派学院
#19
发表于 2010-3-27 16:21
资料
个人空间
短消息
只看该作者
回复 #17 a1090978786 的帖子
大哥......你第一贴就挖坟
[广告]
安装Alexa工具条,提高轩辕排名,支持轩辕发展!
瓦灰
组别
校尉
级别
左将军
功绩
43
帖子
1299
编号
19585
注册
2004-10-26
#20
发表于 2010-4-2 17:22
资料
主页
文集
短消息
只看该作者
一看标题我还以为是送钱送分的贴。
[广告]
安装Alexa工具条,提高轩辕排名,支持轩辕发展!
清明
组别
百姓
级别
在野武将
功绩
0
帖子
6
编号
337302
注册
2009-8-31
#21
发表于 2010-4-8 15:42
资料
短消息
只看该作者
看来我也跑错门了,呵呵。
是微积分的不定积分啊,都忘记了。
[广告]
安装Alexa工具条,提高轩辕排名,支持轩辕发展!
逍遥轩辕
组别
百姓
级别
在野武将
功绩
0
帖子
15
编号
368467
注册
2010-4-5
来自
金庸江湖
#22
发表于 2010-4-12 21:43
资料
短消息
只看该作者
小学生看不懂……
[广告]
安装Alexa工具条,提高轩辕排名,支持轩辕发展!
付昭霄
组别
女官
级别
安南将军
功绩
25
帖子
2872
编号
355089
注册
2010-1-14
来自
辽宁营口
家族
瓦岗寨
#23
发表于 2010-4-18 00:12
资料
个人空间
短消息
只看该作者
乱七八糟的,看不明白
[广告]
真诚支持说岳,携手共创辉煌
张洋
(五湖废人)
组别
校尉
级别
军师将军
功绩
10
帖子
996
编号
340557
注册
2009-9-25
家族
轩辕丐帮
#24
发表于 2010-4-22 23:31
资料
文集
短消息
只看该作者
两道题都不难,第二题不是双曲函数的积分吗?难道我记错了
[广告]
真诚支持说岳,携手共创辉煌
投票
交易
悬赏
活动
正在浏览此帖的会员 - 共
1
人在线
轩辕春秋文化论坛
轩辕史话
> 炎黄春秋
> 我思我在
> 法律探讨
> 三国史话
春秋文艺
> 古典小说
> 诗词歌赋
> 现代文艺
> 韦编三绝
> 对联雅座
> 滴翠亭
> 藏经阁
> 双七钟社
> 笑书神侠
> 辕门射虎
> 虎帐点兵
游戏人生
> 同人战棋手游
> 三国戏英杰传
> 三国鼎立
> 轩辕公会
> 三国志12
> 英雄史诗
> 运筹帷幄
> 人间五十年
> 步步为营
> 游行天下
> 游戏贴图
轩辕工作室
> 兴唐传·瓦岗山异闻录
> 豪华曹操传
> 精忠报国岳飞传
> 《精忠报国岳飞传》制作组
> 大一统演义
> 曹操传MOD作品交流
> 东吴霸王传
> 封神英杰传
> 杨家将
> 吕布传
> 三国无双战略版
> 北宋志·赵匡胤传
> 战旗春秋
> 曹操传MOD制作交流
> 金庸群侠传MOD交流
> 风华录
> 设计与修改
怡情岁月
> 影音经典
> 动漫先锋
> 绘画摄影
> 情感轩辕
> 衣食住行
> 体坛动力
> 谈股论金
参政议政
> 迎宾阁
> 鸿胪寺
> 登闻鼓
> 监造府
当前时区 GMT+8, 现在时间是 2026-1-23 01:02
京ICP备2023018092号
轩辕春秋
2003-2023 www.xycq.org.cn
Powered by
Discuz!
5.0.0
2001-2006
Comsenz Inc.
Processed in 0.012543 second(s), 9 queries , Gzip enabled
TOP
清除 Cookies
-
联系我们
-
轩辕春秋
-
Archiver
-
WAP
控制面板首页
编辑个人资料
积分交易
公众用户组
好友列表
基本概况
论坛排行
主题排行
发帖排行
积分排行
管理团队
管理统计