游客:
注册
|
登录
会员
|
搜索
|
统计
|
帮助
轩辕春秋文化论坛
»
步步为营
» 战棋联赛第三轮成绩公布贴、战术讨论贴
兴唐传·瓦岗山异闻录(20150519版)发布
(2015-5-19)
论坛营运现状公告
(2014-8-10)
三国志12pk版下载
(2013-4-20)
《精忠报国岳飞传》制作组对外开放
(2013-1-16)
岳飞传解密剧本发布
(2011-4-12)
招募各版斑竹和网站管理技术人员
(2006-4-19)
<< 上一主题
|
下一主题 >>
45
1/2
1
2
››
投票
交易
悬赏
活动
打印
|
推荐
|
订阅
|
收藏
|
开通个人空间
|
加入资讯
标题: 战棋联赛第三轮成绩公布贴、战术讨论贴, 公布了anitector的战术
林冲
(教头)
京兆郡公
谏议大夫
★★
★★
组别
翰林学士
级别
卫将军
好贴
5
功绩
872
帖子
6312
编号
56550
注册
2006-1-2
家族
轩辕狼党
#1
发表于 2007-5-14 21:46
资料
个人空间
短消息
只看该作者
战棋联赛第三轮成绩公布贴、战术讨论贴
轩辕春秋步步为营第一届战棋联赛第三轮已经截止,交稿有如下3位会员:
冰祁步
anitector
落叶
如果有会员交了稿但不在这个名单中的,请务必PM我。
[
本帖最后由 林冲 于 2007-5-25 22:09 编辑
]
[广告]
真诚支持说岳,携手共创辉煌
林冲
(教头)
京兆郡公
谏议大夫
★★
★★
组别
翰林学士
级别
卫将军
好贴
5
功绩
872
帖子
6312
编号
56550
注册
2006-1-2
家族
轩辕狼党
#2
发表于 2007-5-14 21:54
资料
个人空间
短消息
只看该作者
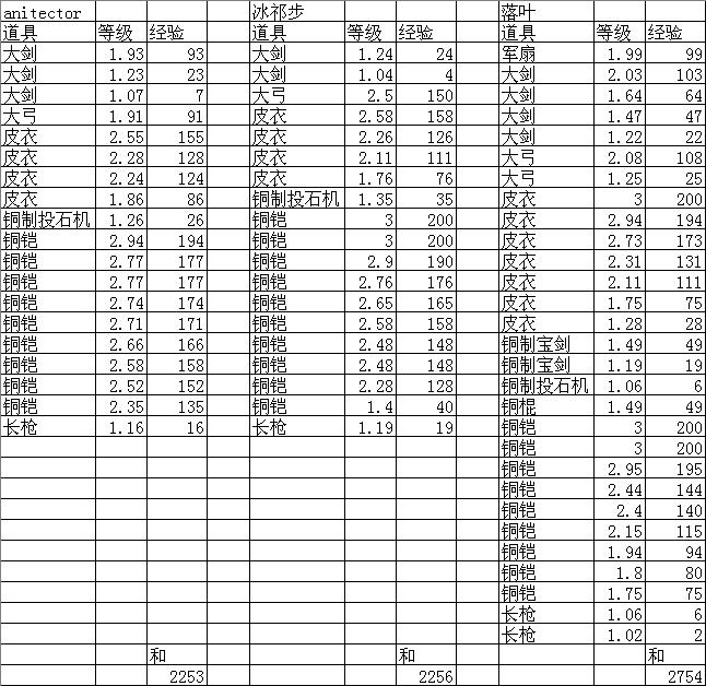
成绩统计如下,如果出现错误请参赛会员指出。
奖励:
第一名,anitector:功绩+2、通宝+2000
第二名,冰祁步:功绩+1、通宝+1200
第三名,落叶:功绩+1、通宝+800
武将经验和:
图片附件
: [1]
01.JPG
(2007-5-14 21:54, 66.5 K)
道具经验和:
图片附件
: [2]
02.JPG
(2007-5-14 21:54, 122.69 K)
果子:
图片附件
: [3]
03.JPG
(2007-5-14 21:54, 19.96 K)
[
本帖最后由 林冲 于 2007-5-21 22:48 编辑
]
[广告]
安装Alexa工具条,提高轩辕排名,支持轩辕发展!
林冲
(教头)
京兆郡公
谏议大夫
★★
★★
组别
翰林学士
级别
卫将军
好贴
5
功绩
872
帖子
6312
编号
56550
注册
2006-1-2
家族
轩辕狼党
#3
发表于 2007-5-14 21:56
资料
个人空间
短消息
只看该作者
第三轮得分总览:
图片附件
: [4]
04.JPG
(2007-5-14 21:56, 15.83 K)
[广告]
安装Alexa工具条,提高轩辕排名,支持轩辕发展!
KYOKO
(★御姐控★)
唐国公
荆南节度使
★★
组别
节度使
级别
大将军
功绩
1457
帖子
65673
编号
32
注册
2003-8-19
来自
BWL
#4
发表于 2007-5-15 02:32
资料
个人空间
短消息
只看该作者
恭喜落叶
就像拳击比赛,输了也是亚军
[广告]
《精忠报国岳飞传完整版》火热发布
林冲
(教头)
京兆郡公
谏议大夫
★★
★★
组别
翰林学士
级别
卫将军
好贴
5
功绩
872
帖子
6312
编号
56550
注册
2006-1-2
家族
轩辕狼党
#5
发表于 2007-5-15 02:41
资料
个人空间
短消息
只看该作者
个人原因:第三轮比赛的战术研讨推迟到5月22日以后。
[广告]
安装Alexa工具条,提高轩辕排名,支持轩辕发展!
hemp
组别
百姓
级别
破贼校尉
功绩
1
帖子
83
编号
108189
注册
2007-2-8
#6
发表于 2007-5-15 06:30
资料
短消息
只看该作者
太NB拉,仰视ING
[广告]
真诚支持说岳,携手共创辉煌
hemp
组别
百姓
级别
破贼校尉
功绩
1
帖子
83
编号
108189
注册
2007-2-8
#7
发表于 2007-5-15 06:34
资料
短消息
只看该作者
我打的时候最大的问题就是任务经验,真想知道不到500的经验怎么可以过这2关的
[广告]
《精忠报国岳飞传完整版》火热发布
hemp
组别
百姓
级别
破贼校尉
功绩
1
帖子
83
编号
108189
注册
2007-2-8
#8
发表于 2007-5-15 06:35
资料
短消息
只看该作者
人物经验~~~打错拉
我开始想象中最多得分是2000不到,牛人啊,强烈等待战术讲解
[广告]
《精忠报国岳飞传完整版》火热发布
林冲
(教头)
京兆郡公
谏议大夫
★★
★★
组别
翰林学士
级别
卫将军
好贴
5
功绩
872
帖子
6312
编号
56550
注册
2006-1-2
家族
轩辕狼党
#9
发表于 2007-5-15 06:37
资料
个人空间
短消息
只看该作者
邺城之战袁尚那股援军可以不用打。
南皮之战可以通过曹洪直接单挑袁谭过关。
[广告]
安装Alexa工具条,提高轩辕排名,支持轩辕发展!
hemp
组别
百姓
级别
破贼校尉
功绩
1
帖子
83
编号
108189
注册
2007-2-8
#10
发表于 2007-5-15 07:14
资料
短消息
只看该作者
原来,那就等待BZ的解说拉~~~PS:下次容易一点或则短一点吧
如果BZ可以编辑MOD,可以设置那种走位图,包括一个地图有10个特定的单条,但是因为可以单条的人都在最里面我们这边又有强力友军,另外回合数少一些.这样全部单条完成就很困难,不知道这种比赛可以吗???
[广告]
真诚支持说岳,携手共创辉煌
sharmarty
组别
百姓
级别
在野武将
功绩
1
帖子
24
编号
67904
注册
2006-5-5
#11
发表于 2007-5-15 09:43
资料
短消息
只看该作者
前两名都是用炮车主攻的,这样可以不累计经验,这一点一开始我倒没想到,因为以前压级练果炮车都没有转职的,道具经验和我的想象差不多
[广告]
安装Alexa工具条,提高轩辕排名,支持轩辕发展!
hemp
组别
百姓
级别
破贼校尉
功绩
1
帖子
83
编号
108189
注册
2007-2-8
#12
发表于 2007-5-15 11:24
资料
短消息
只看该作者
楼上说得对哦,我开始的时候只是觉得跑车不累计攻击道具经验.所以根本没有想过用,打的时候一直用2个步兵.打得少,思路果然不够
[广告]
安装Alexa工具条,提高轩辕排名,支持轩辕发展!
落叶
组别
校尉
级别
平东将军
功绩
29
帖子
2584
编号
89033
注册
2006-10-28
#13
发表于 2007-5-15 13:04
资料
文集
短消息
只看该作者
没错,算错了.开始的意图是用一二个主力吃人,级别高了经验就下来了,但没想到这和普通的压级练果不同,后悔也晚了.不过就算是偶再多打几遍,也还是第三.
[广告]
安装Alexa工具条,提高轩辕排名,支持轩辕发展!
墨叶
★★★★
节度留后虎豹骑
组别
虎豹骑
级别
大将军
功绩
359
帖子
23258
编号
97330
注册
2006-12-26
家族
轩辕少林寺
#14
发表于 2007-5-15 13:12
资料
个人空间
短消息
只看该作者
QUOTE:
原帖由
林冲
于 2007-5-15 06:37 发表
邺城之战袁尚那股援军可以不用打。
南皮之战可以通过曹洪直接单挑袁谭过关。
诶,这么重要的知识都不了解.惭愧.
[广告]
《精忠报国岳飞传完整版》火热发布
sharmarty
组别
百姓
级别
在野武将
功绩
1
帖子
24
编号
67904
注册
2006-5-5
#15
发表于 2007-5-15 16:11
资料
短消息
只看该作者
前两名的升级经验都差不多,应该都是用上面的方法打的
[广告]
安装Alexa工具条,提高轩辕排名,支持轩辕发展!
anitector
轩辕春秋战棋王
白衣伯爵
★
组别
白衣卿相
级别
牙门将军
好贴
1
功绩
218
帖子
541
编号
67418
注册
2006-4-30
#16
发表于 2007-5-15 17:50
资料
文集
短消息
只看该作者
成绩出来了,能拿第一感觉很幸运,毕竟好多骨灰没参加,而且感觉冰祁步也没有尽全力的打。
我打的还有很多不足之处,经验差不多最低了,关键是练果,还有很多问题。
这轮比赛的难点我认为在于补给品不够,第一关我用了99个豆,80个左右的米,第二关之前虽然可以买卖,我只凑够了99个豆和60左右的米,因此,第二关很多时候不是读打中,而是读格挡。
需要在有限的粮食中练到更多的装备经验,当然是将更多的攻击转移到我军防御较高的人身上,那么我在第一关,将孟德新书给了曹洪可能就是个错误,因为他的防御明显没有乐进和李典高,但是有个问题就是如果孟书给了乐进,当他的甲升到2级之后,由于防御升高了一个档次,敌军火力会转移(曹洪就不会出现这个现象),这样就很难保证一关就把甲练满。我考虑了一下,觉得带个医师给附近的人加防可能不会造成攻击的转移,这样就可以让乐进拿着孟书了。
另外,医师的补血作用是不是也应该利用呢,简单算一下,一次援队涨10点经验,但却换来了武器的3点经验和防具的15点左右的经验。
因此,我感觉带个医师可能会好一些,当然,由于没有时间重打,也就只能停留在想法上了
[
本帖最后由 anitector 于 2007-5-15 18:12 编辑
]
本帖最近评分记录
林冲
2007-5-18 04:08
+100
第三轮参赛奖励
林冲
2007-5-18 04:08
+100
第三轮参赛奖励
林冲
2007-5-16 18:07
+100
第三轮参赛奖励,还差1000。
林冲
2007-5-16 18:07
+100
第三轮参赛奖励
[广告]
安装Alexa工具条,提高轩辕排名,支持轩辕发展!
冰祁步
长平郡主
鸿胪少卿
荆湖路经略使
★★
组别
佩剑公主
级别
卫将军
好贴
3
功绩
2717
帖子
6735
编号
121
注册
2004-9-25
家族
司徒实业
#17
发表于 2007-5-15 18:30
资料
文集
短消息
只看该作者
战后有一个发现
本来给敌军装备手套是为了获取更多的防具经验值
但是在实战中,由于豆和米属于紧俏商品
因此我反而不敢排好阵行任由敌军炮车拷打
所以我在想,可能敌军不装备手套或许能够取得更好的成绩
本次比赛我已经尽力了
anitector确实无愧于战棋王的称号,恭喜
[广告]
《精忠报国岳飞传完整版》火热发布
落叶
组别
校尉
级别
平东将军
功绩
29
帖子
2584
编号
89033
注册
2006-10-28
#18
发表于 2007-5-15 18:51
资料
文集
短消息
只看该作者
QUOTE:
原帖由
anitector
于 2007-5-15 17:50 发表
成绩出来了,能拿第一感觉很幸运,毕竟好多骨灰没参加,而且感觉冰祁步也没有尽全力的打。
我打的还有很多不足之处,经验差不多最低了,关键是练果,还有很多问题。
这轮比赛的难点我认为在于补给品不够,第一 ...
我就带了个医生,作用还是可以的,虽然会多点经验,但由此而来的装备经验完全可以抵消掉.
[广告]
真诚支持说岳,携手共创辉煌
墨叶
★★★★
节度留后虎豹骑
组别
虎豹骑
级别
大将军
功绩
359
帖子
23258
编号
97330
注册
2006-12-26
家族
轩辕少林寺
#19
发表于 2007-5-15 22:57
资料
个人空间
短消息
只看该作者
你的粮食也用完了?在没粮食时有医生才能放开手脚挨打.
[广告]
《精忠报国岳飞传完整版》火热发布
hemp
组别
百姓
级别
破贼校尉
功绩
1
帖子
83
编号
108189
注册
2007-2-8
#20
发表于 2007-5-16 03:20
资料
短消息
只看该作者
记得早些时候提议过再给99个桃~~~
[广告]
安装Alexa工具条,提高轩辕排名,支持轩辕发展!
sharmarty
组别
百姓
级别
在野武将
功绩
1
帖子
24
编号
67904
注册
2006-5-5
#21
发表于 2007-5-16 10:16
资料
短消息
只看该作者
这轮比赛设计得很好,用尽量少的豆获得尽量多的道具经验本身就是一项技术,如果有桃子就不符合实际了,冠军打的真的很好,就是有一点不明白,孟书为什么给步兵,一般都给弓骑的啊,弓骑不容易反击,而且曹丕的防御虽然比不上乐进,但还是略高于曹洪的
[广告]
真诚支持说岳,携手共创辉煌
墨叶
★★★★
节度留后虎豹骑
组别
虎豹骑
级别
大将军
功绩
359
帖子
23258
编号
97330
注册
2006-12-26
家族
轩辕少林寺
#22
发表于 2007-5-16 13:39
资料
个人空间
短消息
只看该作者
敌人有炮兵,总能打到步兵的.没看到粮食不足吗?
[广告]
真诚支持说岳,携手共创辉煌
anitector
轩辕春秋战棋王
白衣伯爵
★
组别
白衣卿相
级别
牙门将军
好贴
1
功绩
218
帖子
541
编号
67418
注册
2006-4-30
#23
发表于 2007-5-16 16:41
资料
文集
短消息
只看该作者
QUOTE:
原帖由
sharmarty
于 2007-5-16 10:16 发表
这轮比赛设计得很好,用尽量少的豆获得尽量多的道具经验本身就是一项技术,如果有桃子就不符合实际了,冠军打的真的很好,就是有一点不明白,孟书为什么给步兵,一般都给弓骑的啊,弓骑不容易反击,而且曹丕的防 ...
同意你的观点,如果有桃子的话只要每回合读全中就可以了
关于孟书给曹洪,原因有三:
1.步兵城内110,因此曹洪减血少一些,至少相当
2.敌军弓兵多,弓骑更容易反击
3.步兵血厚,弓骑要是一回合挨那么多下,很可能满血都会挂
本帖最近评分记录
林冲
2007-5-18 04:09
+100
第三轮参赛奖励,还差400
林冲
2007-5-18 04:09
+100
第三轮参赛奖励
林冲
2007-5-18 04:09
+100
第三轮参赛奖励
林冲
2007-5-18 04:09
+100
第三轮参赛奖励
[广告]
《精忠报国岳飞传完整版》火热发布
落叶
组别
校尉
级别
平东将军
功绩
29
帖子
2584
编号
89033
注册
2006-10-28
#24
发表于 2007-5-16 19:00
资料
文集
短消息
只看该作者
QUOTE:
原帖由
墨叶
于 2007-5-15 22:57 发表
你的粮食也用完了?在没粮食时有医生才能放开手脚挨打.
害怕不够,实际上最后还剩了个米.还是太保守,应该都买成豆而不是米.
[广告]
真诚支持说岳,携手共创辉煌
hemp
组别
百姓
级别
破贼校尉
功绩
1
帖子
83
编号
108189
注册
2007-2-8
#25
发表于 2007-5-22 21:05
资料
短消息
只看该作者
22号拉~~~~~
当然不是催大大拉.
[广告]
安装Alexa工具条,提高轩辕排名,支持轩辕发展!
林冲
(教头)
京兆郡公
谏议大夫
★★
★★
组别
翰林学士
级别
卫将军
好贴
5
功绩
872
帖子
6312
编号
56550
注册
2006-1-2
家族
轩辕狼党
#26
发表于 2007-5-23 23:08
资料
个人空间
短消息
只看该作者
回复 #25 hemp 的帖子
刚刚上手开始写,由于压级练果并非我的专长,所以不是特别的好写。再等几天吧!
[广告]
安装Alexa工具条,提高轩辕排名,支持轩辕发展!
hemp
组别
百姓
级别
破贼校尉
功绩
1
帖子
83
编号
108189
注册
2007-2-8
#27
发表于 2007-5-23 23:32
资料
短消息
只看该作者
呵呵,那是当然拉~~没关系的,刚好看见教头你在做MOD............无限期待ING
然后强烈希望有一种兵种:移动11,期于是AAACC,自带强行和回归.这样的话可以避开每个MOD都是在5围上做文章.有一个移动力超人,可以多很多打法.小小提议而已~
[广告]
《精忠报国岳飞传完整版》火热发布
anitector
轩辕春秋战棋王
白衣伯爵
★
组别
白衣卿相
级别
牙门将军
好贴
1
功绩
218
帖子
541
编号
67418
注册
2006-4-30
#28
发表于 2007-5-24 01:23
资料
文集
短消息
只看该作者
QUOTE:
原帖由
hemp
于 2007-5-23 23:32 发表
呵呵,那是当然拉~~没关系的,刚好看见教头你在做MOD............无限期待ING
然后强烈希望有一种兵种:移动11,期于是AAACC,自带强行和回归.这样的话可以避开每个MOD都是在5围上做文章.有一个移动力超人,可以多 ...
隋唐有类似的兵种,还能穿墙呢,我超喜欢用,
你可以去试试
[广告]
安装Alexa工具条,提高轩辕排名,支持轩辕发展!
林冲
(教头)
京兆郡公
谏议大夫
★★
★★
组别
翰林学士
级别
卫将军
好贴
5
功绩
872
帖子
6312
编号
56550
注册
2006-1-2
家族
轩辕狼党
#29
发表于 2007-5-25 19:21
资料
个人空间
短消息
只看该作者
第三轮比赛第一名anitector邺城之战战术详解
出场阵容及装备:
曹操:大剑、铜铠、玉玺
夏侯惇:长枪、铜铠、皮制马铠
张辽:长枪、铜铠、皮制马铠
曹仁:长枪、铜铠、豆袋
曹丕:大弓、铜铠、六韬
乐进:大剑、铜铠、青囊书
李典:大剑、铜铠、爪黄飞电
曹洪:大剑、铜铠、孟德新书
许褚:大剑、皮衣、绝影
刘晔:铜制投石机、皮衣、风车轮
郭嘉:铜制宝剑、皮衣、三略
第1-2回合:全军兵分两路,向邺城和鹿砦进军。
图片附件
: [1]
01.JPG
(2007-5-25 19:21, 101.35 K)
第3回合:调整好阵型,开练!夏侯惇、张辽、曹仁三个骑兵此后一直呆在沮鹄的大营练衣服。
图片附件
: [2]
02.JPG
(2007-5-25 19:21, 136.54 K)
第4回合:右路的三个骑兵的情况我就不再赘述了。邺城的情况,我军引出一个友军的贼兵。嗯!以后杀敌就靠他了。
图片附件
: [3]
03.JPG
(2007-5-25 19:21, 147.77 K)
[
本帖最后由 林冲 于 2007-5-25 21:48 编辑
]
[广告]
《精忠报国岳飞传完整版》火热发布
林冲
(教头)
京兆郡公
谏议大夫
★★
★★
组别
翰林学士
级别
卫将军
好贴
5
功绩
872
帖子
6312
编号
56550
注册
2006-1-2
家族
轩辕狼党
#30
发表于 2007-5-25 19:23
资料
个人空间
短消息
只看该作者
第5回合:利用贼兵砍掉挡路的步兵。
图片附件
: [4]
04.JPG
(2007-5-25 19:23, 67.82 K)
第6回合。
图片附件
: [5]
05.JPG
(2007-5-25 19:23, 75.88 K)
第7回合。
图片附件
: [6]
06.JPG
(2007-5-25 19:23, 85.36 K)
第8回合。这三轮,我军就是利用贼兵杀敌,其他的人吃米和豆维持。到第九回合开始,我军的经验,吃米、豆的数量,装备等级的情况见图。可以看到,装备经验高、武将经验少,可是米和豆消耗得太狠了。
图片附件
: [7]
07.JPG
(2007-5-25 19:23, 120.27 K)
图片附件
: [8]
08.JPG
(2007-5-25 19:23, 49.45 K)
[
本帖最后由 林冲 于 2007-5-25 19:24 编辑
]
[广告]
安装Alexa工具条,提高轩辕排名,支持轩辕发展!
45
1/2
1
2
››
投票
交易
悬赏
活动
正在浏览此帖的会员 - 共
1
人在线
轩辕春秋文化论坛
轩辕史话
> 炎黄春秋
> 我思我在
> 法律探讨
> 三国史话
春秋文艺
> 古典小说
> 诗词歌赋
> 现代文艺
> 韦编三绝
> 对联雅座
> 滴翠亭
> 藏经阁
> 双七钟社
> 笑书神侠
> 辕门射虎
> 虎帐点兵
游戏人生
> 同人战棋手游
> 三国戏英杰传
> 三国鼎立
> 轩辕公会
> 三国志12
> 英雄史诗
> 运筹帷幄
> 人间五十年
> 步步为营
> 游行天下
> 游戏贴图
轩辕工作室
> 兴唐传·瓦岗山异闻录
> 豪华曹操传
> 精忠报国岳飞传
> 《精忠报国岳飞传》制作组
> 大一统演义
> 曹操传MOD作品交流
> 东吴霸王传
> 封神英杰传
> 杨家将
> 吕布传
> 三国无双战略版
> 北宋志·赵匡胤传
> 战旗春秋
> 曹操传MOD制作交流
> 金庸群侠传MOD交流
> 风华录
> 设计与修改
怡情岁月
> 影音经典
> 动漫先锋
> 绘画摄影
> 情感轩辕
> 衣食住行
> 体坛动力
> 谈股论金
参政议政
> 迎宾阁
> 鸿胪寺
> 登闻鼓
> 监造府
当前时区 GMT+8, 现在时间是 2026-3-18 20:36
京ICP备2023018092号
轩辕春秋
2003-2023 www.xycq.org.cn
Powered by
Discuz!
5.0.0
2001-2006
Comsenz Inc.
Processed in 0.013573 second(s), 10 queries , Gzip enabled
TOP
清除 Cookies
-
联系我们
-
轩辕春秋
-
Archiver
-
WAP
控制面板首页
编辑个人资料
积分交易
公众用户组
好友列表
基本概况
论坛排行
主题排行
发帖排行
积分排行
管理团队
管理统计